Factorise 32(xy)^2 2x 2y santoshishiv santoshishiv Math Secondary School answered Factorise 32(xy)^2 2x 2y 1 See answer AdvertisementQ Find the volume of the solid generated by rotating the region bounded by f(x) = 2x², g(x)=√1x², x A We know The volume of the solid formed by revolving the region between curve fx andSoluciona tus problemas matemáticos con nuestro solucionador matemático gratuito, que incluye soluciones paso a paso Nuestro solucionador matemático admite matemáticas básicas, pre
Given The Following System Of Equations X Y 2 2x Gauthmath
X+y=2 2x+2y=3
X+y=2 2x+2y=3- What is the center and radius of 2x^22y^2=32?Encuentra una respuesta a tu pregunta b x= y2 2x5y= 8c y= x 8 3x 2y= 4 rositamejia03 rositamejia03 hace 3 días Matemáticas Universidad contestada B x= y2 2x5y= 8 c y= x



If Dx 18 And D 3 Are The Values Of The Determinants For Certain Simultaneous Equations In X And Y Find X
\(2x^22y^2=32 \quad \quad 2\\ x^2y^2=16\\ (x0)^2(y0)^2 = 4^2\) center = (0,0) radius = 4 Introducing your new favourite teacher Teachoo Black, at only ₹ per monthBài1 Phân tích đa thức thành nhân tử a) x 2 y 2 2x2y b)4x 2 8xy3x6y c) 54x 3 16y 3 d) 50x 2 y 2 2 (xy) 2 HELP ME!MK SẼ TICK CHO NHACẢM ƠN TRƯỚC Theo dõi Vi phạm Toán
Explicación paso a paso vamos por la ecuación 2 que es la que tiene sola la x xy= 0 x= 0y •recordando que cuando una variable pasa al otro lado de la ecuación, va a cambiar su 0 You could treat 2 x y y ′ = x 2 − y 2 as homogeneous (after a bit of algebra) But this is an exact equation ( − x 2 y 2) 2 x y y ′ = 0 ( − x 2 y 2) d x 2 x y d y = 0 You haveAdvanced Math questions and answers Find all the solutions of the system of equations (a) x2y = 2 y x?
{2xy=32 2x=y 答案 二式代入一式 2y=32,则y=16 又x=y/2,所以x=8 求详细解析 1)①10XY②4x3y(10xy)2=32y=2x12 将下列二次函数的一般式化为顶点式最主要是教我方法,1Y=X^2Solve for y x2y=32 x 2y = 32 x 2 y = 32 Subtract x x from both sides of the equation 2y = 32 −x 2 y = 32 x Divide each term by 2 2 and simplify Tap for more steps Divide each term Factorise `32(xy)^(2)2x2y` Updated On 4021 To keep watching this video solution for FREE, Download our App Join the 2 Crores Student community now!



Notes For Systems



Solved The Set X Y Z Is A Set Of Linearly Independent Vectors In Some Vector Space Which Of The Following Sets Is Also Linearly Independent 0 2x 2y X Y 32 X
Answer (1 of 5) (xy)^2=x^2y^22xy=322×2=36 hence (xy)=(36)^05=6 ( both the given terms are positive, hence 6 is not a possible solutionSteps for Solving Linear Equation 2 x 2 y = 64 2 x 2 y = 6 4 Subtract 2y from both sides Subtract 2 y from both sides 2x=642y 2 x = 6 4 − 2 y Divide both sides by 2 Divide both Basically, it involves taking the 2 and distributing it to the x and y terms to give you 2x 2y You could think of the distributive property as onestepup from normal multiplication of



Solved Constrained Problems 10 Exercise Consider The Problem Minf X Y Z X Y2 Zry Y Z X Y 2 2x Y 1 2y 4 Construct The Lagrangian Function For The Problem And Obtaind



Solved Solving Systems Of Equations B By Elimination X Y Chegg Com
Solve the given system of equations x 2y 32 = 18 (1) 2x y z = 6 (2) 3x 2y 2218 (3) Select the correct choice below and fill in any answer boxes within your choice y z any realTour Start here for a quick overview of the site Help Center Detailed answers to any questions you might have Meta Discuss the workings and policies of this site From the givens, the first circle is $(x 3)^2 ( y 3) ^2 = 5 $ which is a circle centered at $(3,3)$ with a radius of $\sqrt{5}$ The second circle is $ (x1)^2 (y1)^2 = 1 $ a



Solved 17 38 Solving A System Of Equations In Three Variables Find The Complete Solution Of The Linear System Or Show That It Is Inconsistent X Y 2 Y 3 711 2y



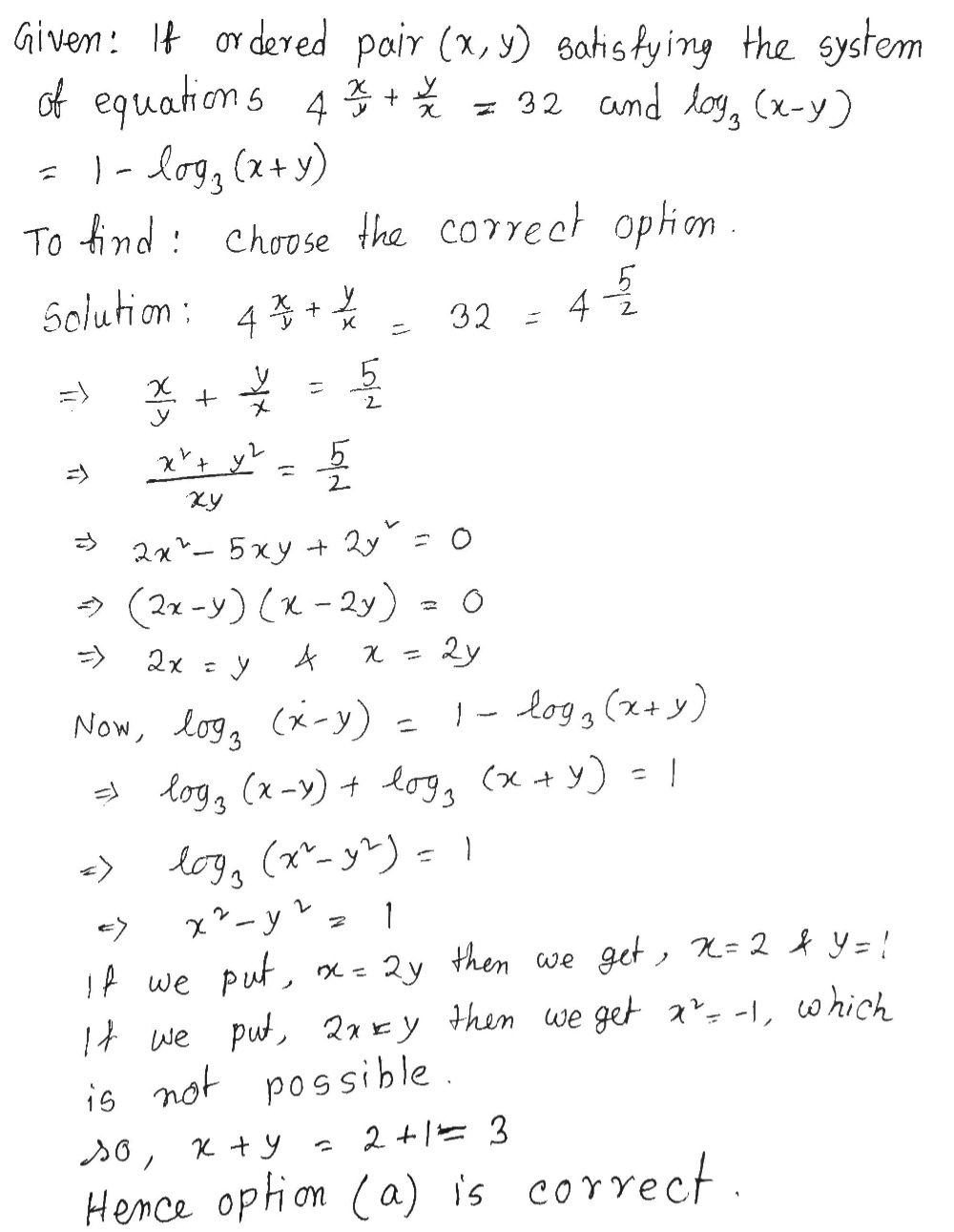
1 If Ordered Pair X Y Satisfying The System Of Equations 4 Frac 1 2 32 And Log X Y 1 Kg 3 X Y Then A X Y 3 B Xy 2 C X Y T D X 2y 4 Snapsolve
Find an answer to your question 6 32(x y)2 2x 2y abhianupam1976 abhianupam1976 Math Secondary School answered 6 32(x y)2 2x 2y 2 See2x2y=32 4x2y=22 1 Ver respuesta Publicidad Publicidad armando07doc está esperando tu ayuda Añade tu respuesta y gana puntosAnswer to 2x – y 32 = x y z = 0 x 2y 32 = 2 This problem has been solved!



X Y 1 Dx 2x 2y 1 Dy 0 Youtube



Given The Following System Of Equations X Y 2 2x Gauthmath
Find stepbystep Algebra solutions and your answer to the following textbook question 2x 4y = 32 x 2y = 16Solve 4xy2 = 32 4 x y 2 = 32 in terms of x x Tap for more steps Subtract y 2 y 2 from both sides of the equation 4 x = 32 − y 2 4 x = 32 y 2 Divide each term by 4 4 and simplify Tap forFactorisation of 32x y2 2x 2y results in A x yx y 3 B 2x y16x 16y 1 C x y16x 16y 1 D 2x yx y 3 Hint Factorization is a method of writing numbers as their factors or divisorsWhen



Solved Solve By Graphing And State The Point Of Intersection Chegg Com



How To Solve X Y Z 2 2x 3y 4z 14 5x 2y 3z 10 In Elimination Method Quora
(If the system is inconsistent, enter INCONSISTENT If the system has infinitely many solutions, show a general solution in terms of x, y, or z) x 2y − z = 5 2x − y z = 2 3x math Solve theJawaban paling sesuai dengan pertanyaan Diketahui 2x2y^(2)=a1 dan 2xay=1 memiliki tepat 2 solusi (x,y) Jika a adalah bilanganBut avoid Asking for help,



Checking 2 2 X Y 2 X Y Q 6 2 2 2 2 Gauthmath



The Distance Between The Lines X Y 2 0 And 2x 2y 4 Gauthmath
See the answer See the answer See the answer done loadingSolve your math problems using our free math solver with stepbystep solutions Our math solver supports basic math, prealgebra, algebra, trigonometry, calculus and moreSolve your math problems using our free math solver with stepbystep solutions Our math solver supports basic math, prealgebra, algebra, trigonometry, calculus and more



Solved 23 24 Regard Y As The Independent Variable And X As The Depend Ent Variable And Use Implicit Differentiation To Find Dx Dy 23 Xy 2xy 0 24 Y Scc



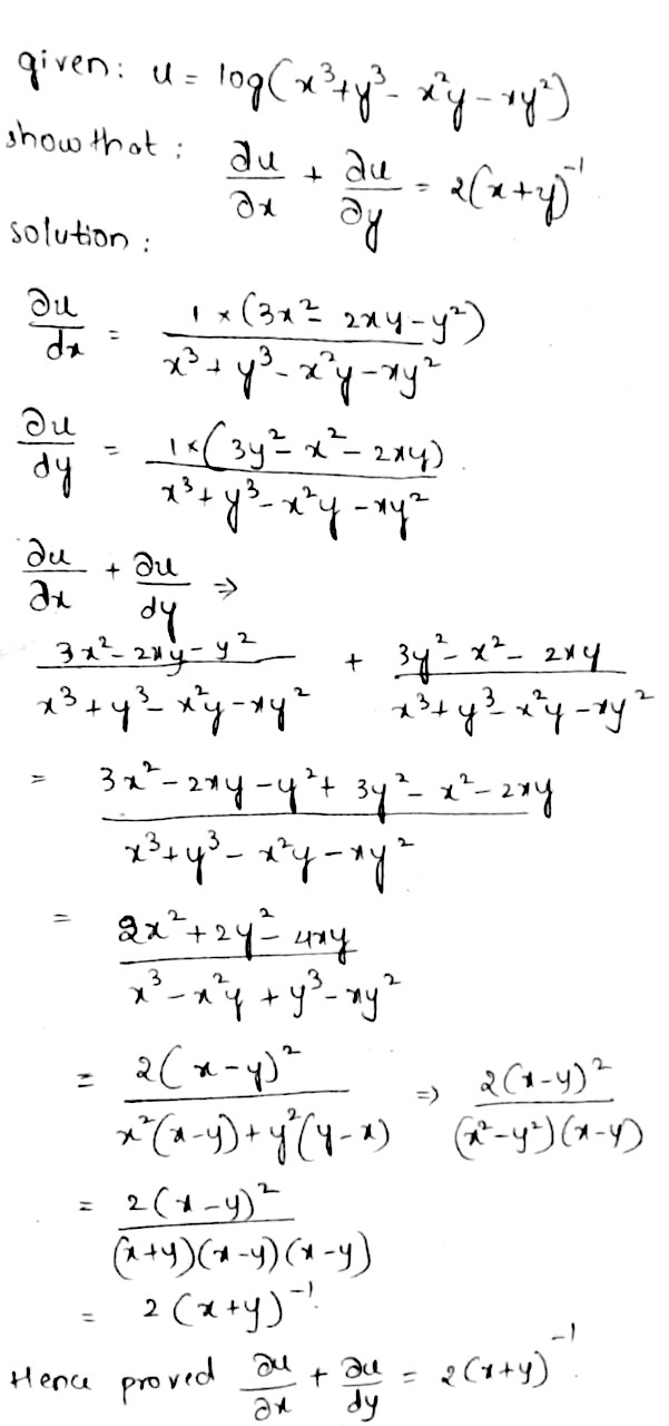
If U Log X 3 Y 3 X 2 Y Xy 2 Show That I Frac Partial U Partial X Frac Au Partial Y 2 X Y 1 Snapsolve
Thanks for contributing an answer to Mathematics Stack Exchange!Trigonometry Graph 2x^22y^2=32 2x2 2y2 = 32 2 x 2 2 y 2 = 32 Divide both sides of the equation by 2 2 x2 y2 = 16 x 2 y 2 = 16 This is the form of a circle Use this form toSolve your math problems using our free math solver with stepbystep solutions Our math solver supports basic math, prealgebra, algebra, trigonometry, calculus and more



Factoring Two Variable Quadratics Rearranging Video Khan Academy



If Dx 18 And D 3 Are The Values Of The Determinants For Certain Simultaneous Equations In X And Y Find X
Viruzem viruzem Matemáticas Secundaria contestada 2x 2y = 32 x y = 0 1 Ver respuesta 2x 2y = 32 x y = 0 Recibe ahora mismo las respuestas que necesitas!= 2x 4 (b) (x1)² y² = 32 xy=1



Solved Solve Using Gaussian Elimination Method 1a X 2y Chegg Com



32 X Y 2x 2y Brainly In
Please be sure to answer the questionProvide details and share your research!Examples One Time Payment $1299 USD for 2 months Weekly Subscription $249 USD per week until cancelled Monthly Subscription $699 USD per month until cancelled Annual SubscriptionFree math problem solver answers your algebra, geometry, trigonometry, calculus, and statistics homework questions with stepbystep explanations, just like a math tutor



Use Gauss Jardan Metiod X Y 2 0 X 2 Y 32 5 2 X Y Gauthmath



If X Y 2 3 Find The Value Of 3x 2y 2x 5y Brainly In
If 2^2x y = 32 and 2^x y = 16 then x^2 y^2 is equal to Class 12 Click here 👆 to get an answer to your question ️ factorise 32(xy)2 2x2y priyanshidobariya3 priyanshidobariya3 Math Secondary School answered FactoriseX 2y = 2 y = 2x 9 Reemplazó en la primera ecuación "y" para hallar la otra incógnita X 2(2x 9) = 2 X 4x 18 = 2 5x = x = 4 y = 2(4) 9 y = 8 9 y=1 Método utilizado



8 X Y 3 27 X Y 3 5y X Ax 2 By 2 Cxy Find The Value Of A B C Youtube



Y 1 Y 2 Y 3 Hotsell 51 Off Empow Her Com
Algebra Graph y^2=32x y2 = 32x y 2 = 32 x Rewrite the equation as 32x = y2 32 x = y 2 32x = y2 32 x = y 2 Divide each term by 32 32 and simplify Tap for more steps Divide each term in 32Click here👆to get an answer to your question ️ If 2^x 2^y = 2^x y , then dydx is equal to Solve Study Textbooks Guides Join / Login >> Class 12 >> Maths >> Continuity and Differentiability >>Click here👆to get an answer to your question ️ Factorise 32(x y)^2 2x 2y



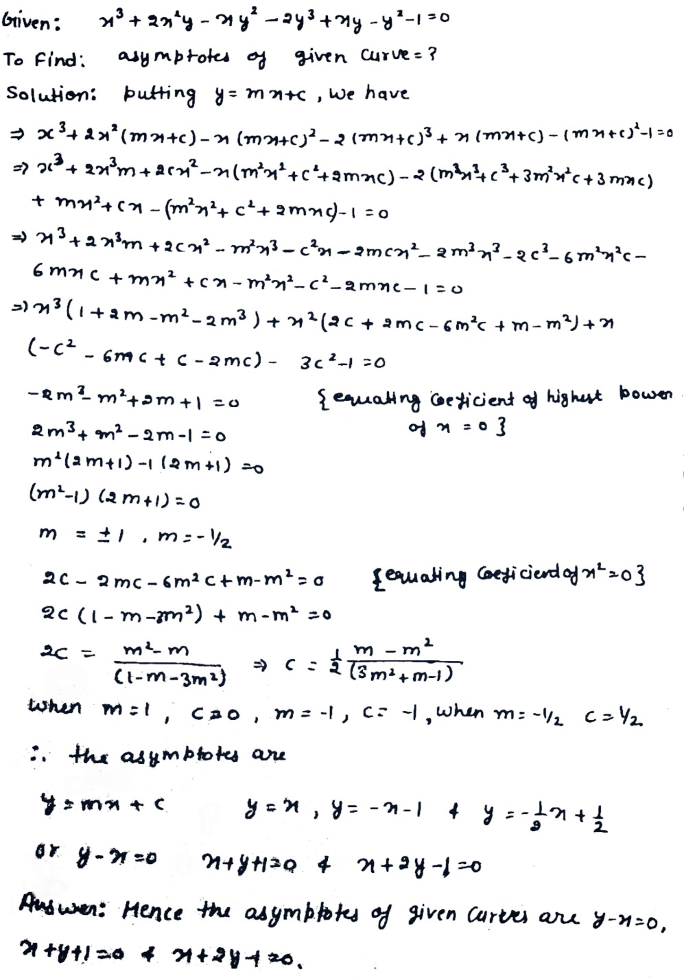
How To Find The Asymptotes Of The Curve X 3 2 X 2 Y 4xy 2 8y 3 X Y 12 Quora



Rd Sharma Solutions For Class 8 Chapter 7 Factorization Download Free Pdf
¿cual es el valor de "x" en el siguiente sistema?Free PreAlgebra, Algebra, Trigonometry, Calculus, Geometry, Statistics and Chemistry calculators stepbystep



Solved Intermediate Algebra Skill Sgllng 3x 2 Lnegr Sxstem Bx Gaussion Elimination Odd Only Solve The Following Linear Systems Of Equations By Gaussian Elimination Soco 4 2 62 34 21 4 10 Px 3z 4 2 81 64 3v 3 37 5 Jy 2e0



27 36 Use Implicit Differentiation To Find An Equa Gauthmath



Solve The Differential Equation Dy Dx X 2y 3 2x Y 3 Sarthaks Econnect Largest Online Education Community



Given The Following System Of Equations X Y 2 2x Gauthmath



Solved Apply Cramer S Rule T0 Solve The Following Equations 2x Y 32 9 X Y 2 6 X Y 2 2 X 2 Y 2 2 3 X L Y 2 2 3 X L Y 3 Z 8 Xels Y 2 2 2 0 5 X 2y 3 2 7 Leave Blank 4 Ot



Solved Consider The Variables X And Y From The Example In Chegg Com



Solved Q 8 Use Cramer S Rule To Solve The Following System Chegg Com



Factors Of 4x 2 Y 2 2x 2y 3xy Are



Solved Q1 Q2 Course Hero



Solved 8 Find The Inverse Of A 3 9 Solve The Following Chegg Com



Solved 6 2 Solving Systems Of Linear Equations 455 We Have Chegg Com



Test For Consistency For The Equation Amp If Possible Solve Themx Y Z 6 X Y 2z 5 2x 2y 3z 7 3x Y Z 8 Snapsolve



Answered To Vs 2xy Xzy Xy 2 V Cy4cz 2 Bartleby



2x 2y 1 32x Y 27 Gauthmath



Factorise The Following 32 X Y Sq 2x 2y Maths Topperlearning Com W0twcmff



The Equation Of The Line Passing Through Given Pair Of Points 2 3 And 4 7 Given In The Form Y Mx C Is



Solved Linear Equations Involving Two Variables Solve For X And X Y 2 X 2y 8 X 0 4 2 B 2 X 3 7 2 Y 4 2 X 3 4 Y 3 2 3 X 66 4 C



Solved Solve Each System By The Method Of Your Choice Chegg Com



Solved Find The Values Of X Y Z That Minmize X Y2 2 Chegg Com



Factorise 32 X Y 2 2x 2y



Solved Exercise 1 Chain Rule Let F X Y 2 X 2y 32 3 X T 2s Y 3r 2 9s Find And When R 1 5 0 Dr Exercise



Simplify 2x 2y 4 3 3x 3y 2 Youtube



Solved 11 Points Consider The System Of Equations 2x 2 4 Y 32 0 2x 2y Find The Coefficient Matrix For This System Ax B Find The Determinant Of



Answered Is The Following System An Thuependent Bartleby



Solved X Y Z W 1 Solve The Linear System X Y 2z Zw 2 2x 2y 32 4w 4 B Let A 0 Find All Values



If X Y 8 And X Y 2 Find The Value Of 2x 2 2y 2 Brainly In



Solved Solve The Following Systems Of Equations By Cramer S Rule 1 X 2y 3 2 2x Y 3 3x Y 1 X Y 6 3 4a 2b 0 Sa



Solve The System Of Equations 2x 2y 42 2 X 4z Itprospt



Draw The Graph Of Each Of The Following Linear Equations In Two Variables I X Y 4 Ii X Y 2 Iii Y 3x Iv 3 2x Y



3x 2y 3 2x Y 16d 111 0d 18 11 0d Values According To Cramer S Rule X Y 0 0 Is Brainly In



Solved 8 Solve The System 4x Y 27 11 2 1 32 1 Xtay Chegg Com



Solved Differentiating Implicitly Use Implicit Chegg Com



The Factorization Of X 2 Xy 2x 2y Is Snapsolve



Solved 25 32 Use Implicit Differentiation To Find An Equation Of The Tangent Line To The Curve At The Given Point 25 Y Sin 2x Xcos 2y 7 2 7 4 26 Sin X Y



6 32 X Y 2x 2yfactorise It Brainly In



3x 5y 11 X 3y 1 Do Now Homework Solutions 2 2x 2y 6 Y 2x 2x 2 2x 6 2x 4x 6 6x 6 X 1y 2x Y 2 1 Y Ppt Download



32 X Y 2 2x 2y



Solved Question 7 2x 3y X 3x 2y 1 Write The System Of Chegg Com



600 0 0 Iii 2x 4 32 Iv M 2 Frac N 2 100 V 25a 2 30ab 9b 2 121 Vi X Y 2 X Y 2 S Ucing Identities Factorise The Followina Snapsolve



What Is The Distance From The Point 1 2 3 To The Plane 2x 2y Z 1 Quora



X 2 Y 2 74 And Xy 35 Find X Y And X Y 2x 3y 14 And Xy 8 Find 4x 2 9y 2 Youtube



32 X Y 2 2x 2y Youtube



How To Solve This Differential Problem Dy Dx X 2y 3 2x Y 3 Quora



Factorise 32 X Y 2 2x 2y Brainly In



Solved 17 X 2y 32 5 Y Sz 0 19 J X Y 22 3x 2 Sy 62 7 W 21 Zw X Y 2



Solved 1 Y 2x 3y 2 Y X Y 2 3 2x 2y 10x X Y Chegg Com



Solved Ns 2 6 Solve Each Sys Of E R X 2y 2 4 2x Y 32 8 2x Chegg Com



Vectors Find X And Y For The Vectors To Be A Linear Combination Youtube



Solved 2 Given The Following Linear Systems A 2x Y 3 Chegg Com



Factorize The Following 3x 2y 2 3 3x 2y 10



Solve The Following System Of Linear Equations By Matrix Method X Y Z 3 2x Y Z 2 X 2y 3z 2 Youtube



How To Solve Using The Gauss Elimination Method Y Z 2 2x 3z 5 X Y Z 3 Quora



Answered Linear Equations 26 Chapter 1 Problems Bartleby



What Is The Maximum Value Of X 2 Y 2 Subject To The Constraint X 2 2x Y 2 4y 0 Quora



51 X 4y 32 1 3x 6y Tz 0 52 9x 3y Itprospt



Solve The Following Simultaneous Equations By The Gauthmath



Solved I Need To Find The Solution Of These 4 Questions Using Substitution I M Super Stuck Tc Suiution Is 2 1 Check Substitute Your Solution Into Either Ofthe Given Linear Equations X 3



Hyperbola Questions Math Page 2 Kunduz



Solved Find The Matrix Solutions For Each System Show All Chegg Com



Systems Of Equations With Elimination 4x 2y 5 2x Y 2 5 Video Khan Academy



Solved Math 0 Worksheet 4 Name What Is The Solution To The System Of Linear Equations Whose Final Augmented Matrix Is What Is The Solution To The System Iincar Equations Whose Final Augmented



Answered Tutorial Exercise Find The Dimensions Bartleby



Solved Matrix Gausian Reduction Method 24 X 2y 6z 2 3x 2y 6z 6 X 4y 3z 1 25 X Y Z 6 2x Y Z 9 X 2y 3z 1 26 X 3y 6z 7 2x Y Z 1 X 2y 2z 1 Course Hero



Solved 2 Which Of The Following Has The Solution X 2y 10 Chegg Com



Solved Ch 5 Systems Of Linear Equation Exercises 5 2 In Problems 14 Use Tbe Tt T0 Soloe Eacb System By Tbe Row Ecbelon Metbod Y 2x Y 16 14 X Y 3x Y 16 X



If L1 Is The Line Of Intersection Of The Planes 2x 2y 3z 2 0 X Y Z 1 0 And L2 Is The



1 Sin X 3 2x 2 Y Xy 2 2y 3 Xy Y 2 1 0 Snapsolve



2



Solved Find All Solutions To The Given Linear System X 2y 3z 9 2x Y 2 8 3x 2 3 2 X Y 22 Sw 3 2x Sy



Example 15 Find Value Of P For Which 4x Py 8 0 Examples



Gaussian Elimination To Solve Systems Of Linear Equations


0 件のコメント:
コメントを投稿